机械非标设计之悬臂传动轴的简化计算
在非标机械设计中,最常遇到的是带传动到低转速的传动轴,或带传动之后再经过减速器传到阌毡驰璨更低转速的传动轴。通常最嘏钱侯薰终输出轴为悬臂轴,受到扭矩和弯矩的联合作用,在危险截面产生较大的应力。一般机械设计手册中轴强度精确计算,步骤十分繁琐,考虑进行计算的因素很多,但其中影响最大的是许用应力和工况系数。这两个因素的选定取决于很多主观因素,难以做到精确,故其变动范围很大。所以在这急躁的社会,需要简化下计算,避免把过多的精力耗费在查表、计算一些影响很小的因素。在吸收前人的经验,再加事先计算好的数据,列于表格,方便后续查阅。

工具/原料
计算好的表格数据
如何计算
1、据资深工程师说,在非标机械设计中,几乎都不进行所谓精确计算,而只简单核算轴的扭应力和弯应力,少数设计只凭经验作决定。但是经验往往都不是那么可靠的,总会出现过大或过小的情况,何况一个没有经验的入门设计者。所以还是需要计算的,化繁为简。
2、首先看下设计手册上的公式实心轴d=17.2X³√T/τpT就是表格中Mk这个表格数据就可以算出来,仅限45钢,如改用40Cr,表格中直径减小80%

3、用实例练习下。

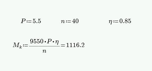
4、电机功率5.5Kw输入轴转速40r/min假定总传动效率η=85%Mk=1116N.m

5、若[τ]取30MPa。那么近似选取轴径60mm若最后用联轴器连接,[τ]取较大值,取轴径55或50mm如改用40Cr,表格中直径减小80%,取48-50mm

