为什么说电压负反馈可以稳定电压输出呢?(图)
1、我们知道对于电压放大器来说可以简化为下图

2、当输入信号源内阻和输出负载不是常量时,则输出电压是个变化量,即随着输入信号源内阻和输出负载的变化而变化。

3、当有负反馈之后可以简化如下图

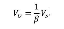
4、采用反馈后的电压表达式为

5、化简过程

6、最后输出电压与输入信号成线性关系,而且beta值一般都是线性电阻构成的,所以输出电压很稳定

7、上述是从公式推导得出的结论,其实可以这样理解:当输入电阻变大时,输入信号几乎都加进来了,而输出电阻非常小,则信号都可以出去,这样的话,输出电压几乎和输出负载没有什么关系了。
阅读量:187
阅读量:55
阅读量:68
阅读量:189
阅读量:181