如何在Simulink中创建子系统(Subsystem)
1、第一步,打开simulink,可以在命令行输入“simulink”,也可以在“主页”界面工具栏选择simulink。如下图:



2、新建一个空白的工程。


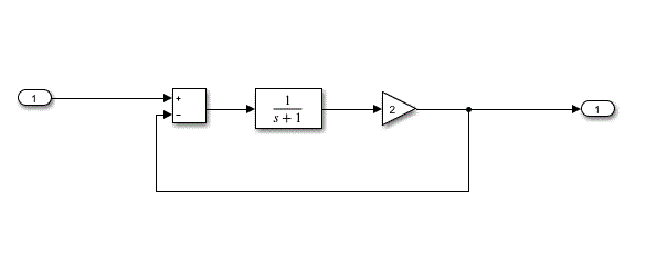
3、绘制系统框图,这里举个简单的例子。

4、选中想要创建子系统的部分。

5、右键,选择Creat Subsystem from selection。

6、得出的子系统如下:


1、第一步,打开simulink,可以在命令行输入“simulink”,也可以在“主页”界面工具栏选择simulink。如下图:



2、新建一个空白的工程。


3、绘制系统框图,这里举个简单的例子。

4、选中想要创建子系统的部分。

5、右键,选择Creat Subsystem from selection。

6、得出的子系统如下:

